Klassifizierung
Hersteller
EClass
ohne die Begriffe:
Macherey-Nagel 

OPTIMA® 225 Kapillarsäulen für die GC

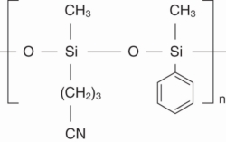
50% Cyanopropylmethyl - 50% Phenylmethylpolysiloxan

mittelpolare Phase
empfohlen für die Fettsäureanalytik
USP G7 / G19
ähnliche Phasen: DB-225, HP-225, OV-225, Rtx-225, CP-Sil 43, 007-225, BP225

max. Temperatur für isotherme Arbeitsweise 260 °C, max. Temperatur für kurze Isothermen in einem Temperaturprogramm 280 °C
Temperatur Max. Isotherme:260 °C
Max. Temperatur Temperaturprogramm:280 °C
OPTIMA® 225 Kapillarsäulen für die GC


OPTIMA® 225 Kapillarsäulen für die GC
Material SäuleUSP EinstufungPolaritätFilmdicke
µm
Ø innen
mm
Länge
m
Menge
pro VE
Bestell Nr. 
QuarzglasG7,G19mittelpolar0,10,11014003050
QuarzglasG7,G19mittelpolar0,250,253014003066
QuarzglasG7,G19mittelpolar0,250,255014003067
QuarzglasG7,G19mittelpolar0,250,256014003068
QuarzglasG7,G19mittelpolar0,250,323014003117
QuarzglasG7,G19mittelpolar0,250,325014003118
QuarzglasG7,G19mittelpolar0,250,326014003119
Säulen nach Kundenspezifikation auf Anfrage erhältlich.
Jede Säule wird einzeln getestet und mit Prüfzertifikat und Testchromatogramm, aber ohne Anschlussfittings oder Ferrules ausgeliefert. Alle Säulen sind an den Enden zugeschmolzen oder mit Septa verschlossen und so gegen Eindringen von Sauerstoff geschützt.
Zusätzlich liegt die j