Klassifizierung
Hersteller
EClass
ohne die Begriffe:
Macherey-Nagel 

OPTIMA® 624 LB Kapillarsäulen für die GC

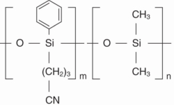
6 % Cyanopropyl-phenyl - 94 % Dimethylpolysiloxan

mittelpolare Phase
USP G43
Säule mit geringem Bluten für halogenierte Kohlenwasserstoffe (LHKW), leichtsiedende Substanzen, aromatische Verbindungen, Lösemittel etc.
ähnliche Phasen: HP-624, HP-VOC, DB-624, DB-VRX, SPB-624, CP-624, Rtx-624, Rtx-Volatiles, 007-624, BP624, VOCOL

max. Temperatur für isotherme Arbeitsweise 280 °C, max. Temperatur für kurze Isothermen in einem Temperaturprogramm 300 °C
Temperatur Max. Isotherme:280 °C
Max. Temperatur Temperaturprogramm:300 °C
OPTIMA® 624 LB Kapillarsäulen für die GC


OPTIMA® 624 LB Kapillarsäulen für die GC
Material SäuleUSP EinstufungPolaritätFilmdicke
µm
Ø innen
mm
Länge
m
Menge
pro VE
Bestell Nr. 
QuarzglasG43mittelpolar1,80,323014003214
QuarzglasG43mittelpolar1,80,325014003215
Säulen nach Kundenspezifikation auf Anfrage erhältlich.
Jede Säule wird einzeln getestet und mit Prüfzertifikat und Testchromatogramm, aber ohne Anschlussfittings oder Ferrules ausgeliefert. Alle Säulen sind an den Enden zugeschmolzen oder mit Septa verschlossen und so gegen Eindringen von Sauerstoff geschützt.
Zusätzlich liegt die j